πενικιλίνη
Νέα ελληνικά (el)

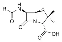
Αναπαράσταση του μορίου της πενικιλίνης
| ↓ πτώσεις | ενικός | πληθυντικός | ||
|---|---|---|---|---|
| ονομαστική | η | πενικιλίνη | οι | πενικιλίνες |
| γενική | της | πενικιλίνης | των | πενικιλινών |
| αιτιατική | την | πενικιλίνη | τις | πενικιλίνες |
| κλητική | πενικιλίνη | πενικιλίνες | ||
| Κατηγορία όπως «νίκη» - Παράρτημα:Ουσιαστικά | ||||
Ετυμολογία
- πενικιλίνη < (άμεσο δάνειο) γαλλική pénicilline < νεολατινική penicillium < λατινική penicillum < peniculus < penis + -culus < πρωτοϊνδοευρωπαϊκή ρίζα *pes
Ουσιαστικό
πενικιλίνη θηλυκό
- (φαρμακευτική) είδος αντιμικροβιακού φαρμάκου, υπαγόμενο στις β-λακτάμες, αποτελώντας ιδιαίτερη ομάδα, αυτή των πενικιλλινών. Ανακαλύφτηκε από τον Σερ Αλεξάντερ Φλέμινγκ το 1928.
- (παρωχημένο) πενικιλλίνη
Συγγενικά
Μεταφράσεις
πενικιλίνη
This article is issued from Wiktionary. The text is licensed under Creative Commons - Attribution - Sharealike. Additional terms may apply for the media files.